图6.42低压非居民客户企业新装业务办理界面1⑤填写申请容量,点击选择,红色字体表示预约已满,如图6.43所示。图6.45低压非居民客户企业新装业务证明资料填写界面图6.46低压非居民客户企业新装业务申请人资料填写营销业务受理人员在后台完成业务受理审核,推送审核结果消息给客户,消息内容见个人新装下的低压居民新装。......
2025-09-30
1.1 本位币业务
货币资金是指企业在生产经营过程中停留在货币形态的资金,是企业流动资产的重要组成部分。货币资金按存放地点和用途的不同,可分为库存现金、银行存款和其他货币资金。库存现金是指企业存放在财会部门由出纳人员保管的现金;银行存款是指企业存放在银行或其他金融机构并可以随时支取的货币资金;其他货币资金是指企业的货币资金中除库存现金、银行存款以外的各种货币资金,包括外埠存款、银行汇票存款、银行本票存款、信用卡存款、信用证保证金存款和存出投资款等项目。
1.1.1 库存现金的会计处理
企业的库存现金,主要是指现金。如果设置备用金制度,则库存现金就包括现金和备用金。本书不介绍备用金的会计处理。
企业的所有现金收付业务,都必须办理凭证手续,即取得或填制证明收付款的原始凭证并由主管会计人员或其指定人员审核后,方可据以填制现金收款凭证或现金付款凭证。
为了避免重复记账,企业对于涉及库存现金和银行存款之间的收付业务,只需编制一张付款凭证。比如,从银行提取现金的经济业务,只编制银行存款付款凭证,不编制现金收款凭证。
为了总括地计算和监督库存现金的收、付和结存情况,企业设置“库存现金”账户。“库存现金”总账属于资产类账户,其借方登记收到的现金,贷方登记支出的现金,余额在借方,表示企业实际持有的库存现金。
例1-1 2025年11月1日,佳和公司销售商品收到现金1 170元,其中货款1 000元,增值税170元。
佳和公司的会计处理如下:
借:库存现金 1 170
贷:主营业务收入 1 000
应交税费——应交增值税(销项税额) 170
为了全面、连续地反映和监督库存现金的收支和结存情况,企业还需设置“现金日记账”,进行现金的序时记录。企业出纳人员根据审核并收付款后的记账凭证,按照现金收付业务发生的时间顺序,逐日逐笔在“现金日记账”上加以登记,每日终了计算当日的现金收入合计数、现金支出合计数和结余数,并将结余数与实际库存现金数相核对,做到账实相符。现金盘点及其会计处理,请参阅《会计基础》第9章的相关内容。有外币现金的企业,按币种分别设置“现金日记账”进行会计处理。
1.1.2 银行存款的会计处理
企业货币资金的入账时间一般以货币资金的实际收付时间为准。现金和其他货币资金的实际收付时间比较容易确认,而银行存款存在多种转账结算方式,在不同的转账结算方式下,需要根据收到的不同原始凭证分别予以确认。
企业在经营过程中经常与各方面发生往来结算业务,这些结算业务,除少量按现金管理办法规定可以使用现金支付以外,大部分都需要通过银行转账结算方式办理收付款项。
所谓转账结算,是指企业与各方面的经济往来款项,不是采用现金收付,而是按照规定的结算方式,通过银行将款项直接从付款单位账户转账划拨给收款单位账户的一种货币清算行为,也称非现金结算。
根据中国人民银行有关支付结算办法的规定,目前企业发生的货币资金收付业务,可以采用支票、银行汇票、银行本票、商业汇票、托收承付、委托收款、汇兑、信用卡和信用证等结算方式,通过银行办理转账结算。
1.支票结算方式
支票是指出票人签发的、委托办理支票存款业务的银行或者其他金融机构,在见票时无条件支付确定的金额给收款人或者持票人的票据。凡同城各单位之间的商品交易、劳务供应和其他款项的结算,以及单位和个人在同一票据交换区域的各种款项结算,都可以采用这种结算方式。该结算方式禁止签发空头支票,若因此银行退票,并按票面金额处以5%但不低于1 000元的罚款,则持票人有权要求出票人按票面金额的2%予以赔偿。支票结算分为现金支票(只能支取现金)、转账支票(只能转账)、普通支票(可支取现金、可转账)三种结算方式。支票的提示付款期自出票日算起为10天。
2.银行汇票结算方式
银行汇票是指出票银行签发的、由其在见票时按照实际结算金额无条件支付给收款人或者持票人的票据。单位和个人的各种款项结算均可使用银行汇票。未填写实际结算金额或实际结算金额超过出票金额的银行汇票不得背书转让。
3.银行本票结算方式
银行本票是指银行签发的、承诺自己在见票时无条件支付确定的金额给收款人或者持票人的票据。单位和个人在同一票据交换区域需要支付各种款项,均可以使用银行本票。银行本票分为不定额本票和定额本票。不定额本票无金额起点限制;定额本票有1 000元、5 000元、10 000元和50 000元面额。银行本票的提示付款期自出票日起最长不得超过2个月。
4.商业汇票结算方式
商业汇票是指出票人签发的、委托付款人在指定日期无条件支付确定的金额给收款人或者持票人的票据。在银行开立存款账户的法人以及其他组织之间,必须具有真实的交易关系和债权债务关系才能使用商业汇票。商业汇票按其承兑人不同分为商业承兑汇票和银行承兑汇票两种,付款期限最长不得超过6个月,提示付款期自汇票到期日起10天。
5.托收承付结算方式
托收承付是指根据购销合同由收款人发货后委托银行向异地付款人收取款项,由付款人向银行承认付款的结算方式。办理托收承付结算的款项,必须是商品交易的款项,以及因商品交易而产生的劳务供应的款项。代销、寄销、赊销商品的款项,不得办理托收承付结算。每笔金额起点10 000元(新华书店系统为1 000元),验单付款3天,验货付款10天。
6.委托收款结算方式
委托收款是指收款人委托银行向付款人收取款项的结算方式。这种结算方式不受金额起点的限制,只要收款人凭已承兑的商业汇票、债券、存单等付款人债务证明即可办理款项的结算。它既可用于同城结算。又可用于异地结算。
7.汇兑结算方式
汇兑是指汇款人委托银行将款项支付给收款人的结算方式。汇兑结算方式划拨款项简便、灵活,单位和个人的各种款项结算均可以使用这种结算方式。
8.信用卡结算方式
信用卡是指商业银行向单位和个人发行的、凭其向特约单位购物、消费和向银行存取现金,且具有消费信用的特制载体卡片。
企业银行存款的收、付业务是通过“银行存款”账户进行会计处理的。企业增加银行存款,借记“银行存款”账户,贷记“库存现金”、“应收账款”等账户;减少银行存款,贷记“银行存款”账户,借记相关账户。企业可按开户银行和其他金融机构、存款种类等设置“银行存款日记账”,根据收付款凭证,按照业务的发生顺序逐笔登记。每日终了,结出余额。
“银行存款日记账”定期与“银行对账单”核对,至少每月核对一次。企业银行存款账面余额与银行对账单余额之间如有差额,编制“银行存款余额调节表”进行调节使之相符。“银行存款余额调节表”的编制方法,请参阅《会计基础》第9章的相关内容。
相关链接:货币资金管理漏洞的常见形式
(1)贪污现金。其主要手法有:少列现金收入总额或多列现金支出总额;用假发票、假收据及假报销单据进行报销;涂改发票进行报销;利用外单位和本单位对发票管理上的漏洞,将旧收据、旧发票、发票副联重复报销或抵账;换用“库存现金”和“银行存款”科目;头尾不一致;侵吞未入账借款;虚列凭证、虚构内容、贪污现金等。
(2)挪用货币资金。这主要是指企业相关人员上下勾结,不按照国家法律法规规定和企业制度约束,将有特定用途的资金挪作他用。其主要手法有:利用“现金日记账”挪用现金;以延迟入账挪用现金;以循环入账挪用现金等。
(3)截留货币资金收入。这主要表现在企业相关人员,利用工作便利,将各种货币资金收入据为己有或挪作他用。经常采用的方法有:涂改发票截留资金;收款不入账;采用编制虚假收款凭证,隐瞒截留收入;收、付银存款时在账户上收付两方均不入账;上下勾结,截留不属于正常业务的收入,私设小金库;等等。
1.1.3 其他货币资金的会计处理
其他货币资金业务,均通过“其他货币资金”账户进行会计处理。该账户属于资产类账户,借方记录增加额,贷方记录减少额。期末余额在借方,反映期末结存数额。
“其他货币资金”账户,按其内容,可分别设置“外埠存款”、“银行汇票”、“银行本票”、“信用卡”、“信用证保证金”和“存出投资款”等二级明细账户。
1.外埠存款
外埠存款指企业到外地进行临时或零星采购时,汇往采购地银行开立采购专户的款项。企业汇出款项时,须填写汇款委托书;汇入银行对于汇入的采购款项,按汇款单位开设采购专户。采购专户存款只付不收,款项付完后结束账户。
企业委托当地开户银行汇款给采购地开立专户时的会计处理如下:
借:其他货币资金——外埠存款
贷:银行存款
收到采购员交来的购货发票,按购货金额和支付的增值税税款进行的会计处理如下:
借:原材料等
应交税费——应交增值税(进项税额)
贷:其他货币资金——外埠存款
采购员完成了采购任务,将多余的外埠存款转回当地银行时,企业根据银行的收账通知,转销“其他资币资金——外埠存款”账户。相应的会计处理如下:
借:银行存款
贷:其他货币资金——外埠存款
2.银行汇票存款
企业为取得银行汇票,按照规定存入银行的款项。企业向银行提交“银行汇票委托书”并将款项交存银行。企业取得银行汇票时,根据银行盖章的委托书存根联进行的会计处理如下:
借:其他货币资金——银行汇票(https://www.chuimin.cn)
贷:银行存款
企业使用银行汇票后,根据发票账单及开户行转来的银行汇票第四联等凭证进行的会计处理如下:
借:原材料等
应交税费——应交增值税(进项税额)
贷:其他货币资金——银行汇票
银行汇票使用完毕应转销的会计处理如下:
借:银行存款
贷:其他货币资金——银行汇票
如果银行汇票因超出付款期限或其他原因未曾使用而退回,则企业收款时的会计处理如下:
借:银行存款
贷:其他货币资金——银行汇票
3.银行本票存款
企业为取得银行本票按规定存入银行的款项。企业向银行提交“银行本票申请书”并将款项交存银行。企业取得银行本票时,根据银行盖章退回的申请书存根联进行的会计处理如下:
借:其他货币资金——银行本票
贷:银行存款
企业使用银行本票后,根据发票账单位等有关凭证进行的会计处理如下:
借:原材料等
应交税费——应交增值税(进项税额)
贷:其他货币资金——银行本票
如因本票超过付款期等原因未曾使用而要求银行退款时,企业根据银行收回本票时盖章退回的一联进账单进行的会计处理如下:
借:银行存款
贷:其他货币资金——银行本票
4.信用证存款
信用证存款是指采用信用证结算方式的企业为开具信用证而存入银行信用证保证金专户的款项。
企业向银行申请开出信用证,用于支付境外供货单位的购货款项。企业根据开户银行盖章退回的“信用证委托书”回单进行的会计处理如下:
借:其他货币资金——信用证
贷:银行存款
企业在收到境外供货单位信用证结算凭证及所附发票账单,并经核对无误后进行的会计处理如下:
借:原材料等
应交税费——应交增值税(进项税额)
贷:其他货币资金——信用证
企业收到未用完的信用证存款余额时的会计处理如下:
借:银行存款
贷:其他货币资金——信用证
5.信用卡存款
信用卡存款是指企业为取得信用卡而存入银行信用卡专户的款项。
企业申领信用卡,按规定填制申请表,并按银行要求交存备用金。银行开立信用卡存款账户,发给企业信用卡。企业根据银行盖章退回的交存备用金的进账单进行的会计处理如下:
借:其他货币资金——信用卡
贷:银行存款
企业在收到开户银行转来的信用卡存款的付款凭证及所附发票账单,并核对无误后进行的会计处理如下:
借:管理费用等
贷:其他货币资金——信用卡
小知识:货币时间价值
货币时间价值是在一定时空条件下,运动中的货币在使用过程中随着时间的推移而增值的部分。货币在不同的时间里,价值是不一样的。货币时间价值被广泛应用于会计计量中,如金融资产、固定资产、无形资产、长期股权投资、非流动负债、收入、租赁等。货币时间价值的一般形式是在不考虑风险和通货膨胀条件下的利率或折现率。
货币时间价值的基本因素:
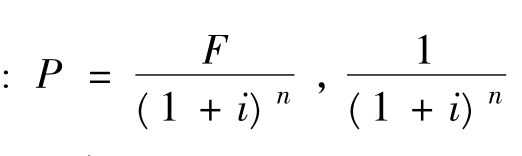
(1)现值,即现在收款或付款的价值,又称本金,通常用P表示。
(2)终值,即货币的未来价值,包括本金和利息,通常用F表示。
(3)利率,通常用i表示。
(4)期数,通常用n表示。
货币时间价值的计算通常包括以下几种:
(1)单利的计算:利息(I)= P×i×n; F= P+ I。
(2)复利终值的计算:利息(I)= P[(1+ i)n-1]; F= P(1+ i)n,(1+ i)n为复利系数,通常用(F/P,i,n)表示。
(3)复利现值的计算是复利现值系数,通常用(P/F,i,n)表示。复利终值系数与复利现值系数互为倒数。
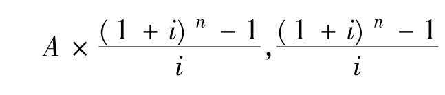
(4)普通年金终值的计算:年金,是指一定时期内按照相等的间隔期支付或收取等额的货币。年金是收付款的特殊形式,通常用A表示。年金分为普通年金、先付年金、递延年金、永续年金四种形式。根据本书的需要,这里只介绍普通年金的相关计算。普通年金终值是一定时期内各期等额系列收付款的复利终值之和,公式为: F=是普通年金终值系数,通常用(F/A,i,n)表示。
(5)普通年金现值的计算:普通年金现值是未来期间若干货币按照规定利率,用复利法换算为现值。公式为:
是普通年金现值系数,通常用(P/A,i,n)表示。
相关文章
图6.42低压非居民客户企业新装业务办理界面1⑤填写申请容量,点击选择,红色字体表示预约已满,如图6.43所示。图6.45低压非居民客户企业新装业务证明资料填写界面图6.46低压非居民客户企业新装业务申请人资料填写营销业务受理人员在后台完成业务受理审核,推送审核结果消息给客户,消息内容见个人新装下的低压居民新装。......
2025-09-30
任务描述旅游企业外汇业务管理包括外汇收支管理、外币业务管理、日常外币收支业务管理、外汇兑换管理和外币资本金折算管理等。旅游企业在核算外币业务时,应当设置相应的外币账户。......
2025-09-30
图4-10工业云与工业集成架构工业云提供了工业领域所需的各种业务能力服务,这部分服务既涉及企业间的协同合作,也涉及企业内部各业务单元的高效协作。工业云将帮助工业实现三大集成,助力工业企业的转型升级。②工业云与纵向集成。因此,依托工业云形成的追踪反馈双向链条是服务型制造的关键所在。......
2025-09-29
利润表三个会计要素收入、费用和利润之间的平衡关系式“收入-费用=利润”被称为动态会计恒等式,它全面刻画了企业在一定会计期间的经营成果。下面以未名旅游公司为例,说明一定会计期间经营成果的形成过程,以及在这个过程中经济业务对利润表的影响。此笔经济业务对动态会计等式的影响如下:收入 - 费用 = 利润1 300 000 - 1 000 000 = 300 000可编制表4-2。......
2025-09-30
针对案例,我们将业务用例的审核薪资进行业务情景建模,得到图3-10所示的活动图,用以构建和说明审核薪资业务的具体流程。至此,方法论面向客户的业务建模就完成了,从客户业务的实际现状上描述了业务的真正情况,并对其进行建模。整体业务建模过程可以形成以客户作为预期读者的需求分析报告。......
2025-09-30
定义和分析业务目标是为了尽快梳理清楚业务范围,也是对要建设的系统的展望。在本案例中,我们从客户的回复及业务概况说明中就可以大致了解到业务目标。最终,经过梳理和分析总结,我们得到了以下业务目标,如图3-1所示。......
2025-09-30
再保险业务是国际保险市场上通行的业务。非比例再保险的保险费率由双方当事人议定。同时,原保险承担的风险与责任也要依赖再保险才能进一步分散。②再保险人的责任、再保险金额和有效期限均以原保险合同的责任、保险金额和有效期限为限。再保险人和原保险人是利益共享、损失共担的合作关系。③保险的赔付性质不同,原保险合同包括补偿性合同和给付性合同两种,而再保险合同均为补偿性合同。......
2025-09-29
兼营房地产业务的企业如果没有设置“其他业务成本”账户,计算转让房地产应交土地增值税时,应记入相关账户,如金融企业记入“其他营业支出”。土地增值税税额=6 010 000×40%-11 990 000×5%=2 404 000-599 500=1 804 500(元)2.土地增值税的会计处理计提土地增值税时:借:其他业务成本1 804 500贷:应交税费——应交土地增1 804 500实际缴纳土地增值税时:借:应交税费——应交土地增值1 804 500贷:银行存款1 804 500......
2025-09-29
相关推荐